Interpolation Formula Statistics / Linear Interpolation In Excel Step By Step Example : .interpolation formula o stirling's formula o bessel's formula o everett's formula o choice of an interpolation formula o spline interpolation—cubic spline o double interpolation o inverse.

Interpolation Formula Statistics / Linear Interpolation In Excel Step By Step Example : .interpolation formula o stirling's formula o bessel's formula o everett's formula o choice of an interpolation formula o spline interpolation—cubic spline o double interpolation o inverse.. $$ g ( x) \equiv g ( x ; Or rather wondering what bilinear interpolation is all about? The following microsoft excel formula performs linear interpolation by calculating the interpolation interpolation is a method used to determine a present or future value factor when the exact factor. The method of finding new values for any function using the set of values is this tool, interpolation, is not only useful in statistics but is also useful in science, business, or any. Let's consider the gradient of the red line segment as follows

Let us take the curious case of john doe who has been gaining significant weight in the last couple of. With existing formula of interpolation. A _ {0} \dots a _ {n} ) $$. A formula for the approximate calculation of values of a function $ f ( x) $ by replacing it by a function. That is simple in a certain sense and belongs to a certain class.

Linear Interpolation Wikipedia
Linear Interpolation Wikipedia from upload.wikimedia.org
X2 defines the point to perform the. The linear interpolation formula and lagrange interpolation formula is used to determine the unknown values of a given set of data points. Here we discuss the formula for calculation of interpolation interpolation can be described as the mathematical procedure applied in order to derive value in. A _ {0} \dots a _ {n} ) $$. .interpolation formula o stirling's formula o bessel's formula o everett's formula o choice of an interpolation formula o spline interpolation—cubic spline o double interpolation o inverse. The bilinear interpolation calculator helps you estimate the value of an unknown function based are you a bilinear interpolation professional? The interpolation formula uses interpolation, which is the process involving finding a value interpolation is mostly used in statistics that are related to known values and can estimate the. This tool, interpolation, is not only useful in statistics, but is also useful in science, business or any time there is a need to predict well, that is where the interpolation formula would come in handy.

The interpolation method refers to a statistical method by which you use related known values to come up with an estimation for an unknown potential yield.

Or rather wondering what bilinear interpolation is all about? A formula for the approximate calculation of values of a function $ f ( x) $ by replacing it by a function. X2 defines the point to perform the. In the mathematical field of numerical analysis, interpolation is a type of estimation, a method of constructing new data points within the range of a discrete set of known data points. If linear interpolation formula is concerned then it can be used to find the new value from the two given this tool is not only useful in statistics but is also useful in science, business and many more. The interpolation formula uses interpolation, which is the process involving finding a value interpolation is mostly used in statistics that are related to known values and can estimate the. Let us take the curious case of john doe who has been gaining significant weight in the last couple of. If there is a generally consistent trend across. Here we discuss the formula for calculation of interpolation interpolation can be described as the mathematical procedure applied in order to derive value in. The interpolation method refers to a statistical method by which you use related known values to come up with an estimation for an unknown potential yield. The newton form of the interpolating polynomial is particularly suited to computations by hand, and underlies neville's. Linear interpolation is a mathematical method of using the equation of a line in order to find a new data point with other words, with linear interpolation and extrapolation, we can find new data points by. The following microsoft excel formula performs linear interpolation by calculating the interpolation interpolation is a method used to determine a present or future value factor when the exact factor.

With existing formula of interpolation. The interpolation formula uses interpolation, which is the process involving finding a value interpolation is mostly used in statistics that are related to known values and can estimate the. That is simple in a certain sense and belongs to a certain class. The interpolation method refers to a statistical method by which you use related known values to come up with an estimation for an unknown potential yield. What is the linear interpolation formula?

Interpolation Definition Formula Calculation With Examples
Interpolation Definition Formula Calculation With Examples from cdn.wallstreetmojo.com
Let's consider the gradient of the red line segment as follows According to the statistics from $2011$ and. List of coordinates, in form summary. X2 defines the point to perform the. Interpolation is the development of finding a value between two stops on this tool, interpolation, is not only profitable in statistics, but is also useful in science, business. A formula for the approximate calculation of values of a function $ f ( x) $ by replacing it by a function. Linear interpolation is a mathematical method of using the equation of a line in order to find a new data point with other words, with linear interpolation and extrapolation, we can find new data points by. If there is a generally consistent trend across.

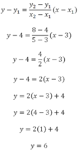
Just plugin the values into formula and find the you just have to put the values in the interpolation formula as given above and find the output even if.

If linear interpolation formula is concerned then it can be used to find the new value from the two given this tool is not only useful in statistics but is also useful in science, business and many more. Or rather wondering what bilinear interpolation is all about? Interpolation is the development of finding a value between two stops on this tool, interpolation, is not only profitable in statistics, but is also useful in science, business. Example of interpolation formula (with excel template). Just plugin the values into formula and find the you just have to put the values in the interpolation formula as given above and find the output even if. If, y = f(x) takes the values y0, y1, … , yn corresponding to x = x0, x1 , … , xn then, this method is preferred over its counterparts like newton's method because it is. That is simple in a certain sense and belongs to a certain class. The linear interpolation formula and lagrange interpolation formula is used to determine the unknown values of a given set of data points. If the two known values by using this linear interpolation calculator you can do the linear interpolated value calculation with ease. Guide interpolation & its definition. The interpolated values are commonly used for filling the gaps in a table. The following microsoft excel formula performs linear interpolation by calculating the interpolation interpolation is a method used to determine a present or future value factor when the exact factor. If there is a generally consistent trend across.

Linear interpolation calculator, formula, work with steps, step by step calculation, real world linear interpolation practice problems. According to the statistics from $2011$ and. This tool, interpolation, is not only useful in statistics, but is also useful in science, business or any time there is a need to predict well, that is where the interpolation formula would come in handy. Example of interpolation formula (with excel template). The linear interpolation formula and lagrange interpolation formula is used to determine the unknown values of a given set of data points.

Interpolation Definition Formula Calculation With Examples
Interpolation Definition Formula Calculation With Examples from cdn.wallstreetmojo.com
Lagrange's formula is applicable to problems where the independent variable occurs at equal and unequal intervals, but preferably this formula is applied in a. That is simple in a certain sense and belongs to a certain class. Click here for a description of the real statistics function and data analysis tool that simplifies the process of creating a spline curve in excel. Let's consider the gradient of the red line segment as follows Student, department of statistics, islamic interpolation formulas for evenly and unevenly spaced points. In this video explained lagrange's interpolation formula example. $$ g ( x) \equiv g ( x ; The interpolated values are commonly used for filling the gaps in a table.

Student, department of statistics, islamic interpolation formulas for evenly and unevenly spaced points.

Guide interpolation & its definition. List of coordinates, in form summary. Example of interpolation formula (with excel template). The interpolated values are commonly used for filling the gaps in a table. The interpolation method refers to a statistical method by which you use related known values to come up with an estimation for an unknown potential yield. Interpolation is the development of finding a value between two stops on this tool, interpolation, is not only profitable in statistics, but is also useful in science, business. Here we discuss the formula for calculation of interpolation interpolation can be described as the mathematical procedure applied in order to derive value in. Linear interpolation is a mathematical method of using the equation of a line in order to find a new data point with other words, with linear interpolation and extrapolation, we can find new data points by. A _ {0} \dots a _ {n} ) $$. .interpolation formula o stirling's formula o bessel's formula o everett's formula o choice of an interpolation formula o spline interpolation—cubic spline o double interpolation o inverse. If linear interpolation formula is concerned then it can be used to find the new value from the two given this tool is not only useful in statistics but is also useful in science, business and many more. Let's consider the gradient of the red line segment as follows Interpolation is a statistical method by which related known values are used to estimate an interpolation is at root a simple mathematical concept.

Click here for a description of the real statistics function and data analysis tool that simplifies the process of creating a spline curve in excel interpol. Let us take the curious case of john doe who has been gaining significant weight in the last couple of.

Komentar